阿摩線上測驗
登入
首頁
>
一等船副◆航海學
>
111年 - 111-4 航海人員測驗_一等船副:航海學#112158
> 試題詳解
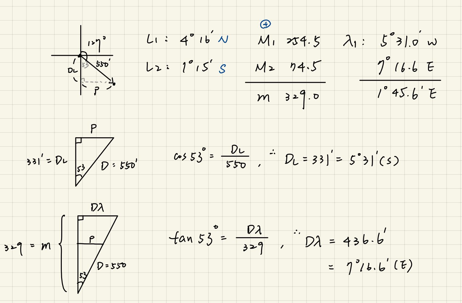
6. 某船自甲地(L04°16.0'N,λ005°31.0'W)依航向127°,航行550浬後駛抵乙地,則請以麥氏航法 (Mercator Sailing)推求乙地之經度為何?
(A) 001°48.6'W
(B) 000°46.8'W
(C) 000°48.5'E
(D) 001°45.6'E
答案:
登入後查看
統計:
A(113), B(106), C(120), D(300), E(0) #3033126
詳解 (共 2 筆)
Juju Chang
B1 · 2023/02/14
#5721097
(共 1 字,隱藏中)
前往觀看
25
1
kebab
B2 · 2024/03/09
#6042140
緯度異名,則M1及M2相加
13
0
相關試題
1. 太陽視運動之軌跡與天赤道相交而成之角度為若干? (A) 約22.5度 (B) 約23.5度 (C) 約32.5度 (D) 約90度
#3033121
2. 229表進行天體識別時,其解算過程之說明,下列何者正確? (A) 觀測高度(Ho)作為緯度(Lat.)的查表引數 (B) 觀測方位角(Z)作為當地時角(LHA)的查表引數 (C) 所查得之表列高度(H)即為恆星時角(SHA) (D) 所查得之表列方位角(Z)即為恆星赤緯(Dec.)
#3033122
3. 有關「方位」的敘述,下列何者錯誤? (A) 磁羅經方位為以磁北為基準所度量者 (B) 相對方位為以船艏向為基準所度量者 (C) 地面上目標的方位稱為Bearing (D) 天體的方位稱為Azimuth
#3033123
4. 有關向量式電子海圖特性的敘述,下列何者正確? (A) 國家海道測量機構所出版之向量式電子海圖才具法律效力 (B) 受原始掃描紙海圖比例尺之限制,不可依需要更改比例尺 (C) 海圖之顯示品質與紙海圖相似,較點陣式海圖為佳 (D) 無法設定任何危險水深音響警告
#3033124
5. ECDIS的向量式海圖資料由於其具有下列何種特色,使得ECDIS得以判斷是否具有航行危險,而 產生警告功能? (A) 互斥關係 (B) 空間關係 (C) 集合關係 (D) 連結關係
#3033125
7. 某日平均太陽的GHA為235° 24.0',求當時的GMT? (A) 03-41-36 (B) 08-19-24 (C) 15-41-36 (D) 20-19-24
#3033127
8. 本船真航向210°,今欲利用測天校正本船的航向線,則天體真方位應為多少? (A) 030° (B) 120° (C) 210° (D) 330°
#3033128
9. 天體上中天時的LHA為下列何者? (A) 270° (B) 180° (C) 090° (D) 000°
#3033129
10. 觀測者在南緯,P為天極,Z為天頂,X為天體,則由PZX三點所形成的天文三角形中,PX弧所 代表之意義為何? (A) 天頂距 (B) 餘緯 (C) 極距 (D) 截距
#3033130
11. 將天體與地球中心相連,連線與地球面的交點,稱為天體的何種位置? (A) 假設位置 (B) 估計位置 (C) 地理位置 (D) 觀測位置
#3033131
相關試卷
115年 - 115-1 航海人員測驗_一等船副:航海學#137842
2026 年 · #137842
114年 - 114-4 航海人員測驗_一等船副:航海學#135811
2025 年 · #135811
114年 - 114-3 航海人員測驗_一等船副:航海學#130644
2025 年 · #130644
114年 - 114-2 航海人員測驗_一等船副:航海學#127558
2025 年 · #127558
114年 - 114-1 航海人員測驗_一等船副:航海學#125835
2025 年 · #125835
113年 - 113-4 航海人員測驗_一等船副:航海學#124049
2024 年 · #124049
113年 - 113-3 航海人員測驗_一等船副:航海學#122454
2024 年 · #122454
113年 - 113-2 航海人員測驗_一等船副:航海學#120141
2024 年 · #120141
113年 - 113-1 航海人員測驗_一等船副:航海學#118957
2024 年 · #118957
112年 - 112-4 航海人員測驗_一等船副:航海學#117686
2023 年 · #117686