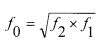
74. 1/3 八音度頻帶,f2、f0、f1分別為上限、中心、下限頻率,則下列關係式何者錯誤?
(A)f0=1.26f2
(B) 
(C)(f2-f1)/f0=0.231
(D)f0=1.12f1。
答案:登入後查看
統計: 尚無統計資料
統計: 尚無統計資料