複選題
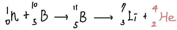
8. 在臨床治療上,硼中子捕獲療法的核反應為將中子與元素 10B 作用,產生高能量的
,而
可衰變為 7Li(鋰-7 原子核)、α 射線。請問此 α 射線之型式為何?
(A) He
(B)
(C)
(D)
答案:登入後查看
統計: A(132), B(27), C(116), D(9), E(0) #3430558
統計: A(132), B(27), C(116), D(9), E(0) #3430558
詳解 (共 4 筆)
#6579781
根據題目整個方程式平衡如下
11
0
#6406982

5
0