阿摩線上測驗 登入

試題詳解

試卷:106年 - 106 公務升官等考試_薦任_財稅行政、商業行政、僑務行政:經濟學#66358 | 科目:二、三等◆經濟學(研究)

試卷資訊

試卷名稱:106年 - 106 公務升官等考試_薦任_財稅行政、商業行政、僑務行政:經濟學#66358

年份:106年

科目:二、三等◆經濟學(研究)

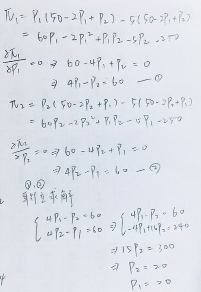
9 二家邊際生產成本相同為 5 的異質商品廠商,在市場上進行 Bertrand 價格競爭。廠商 A 面對的市場需求函數為 q1 = 50 − 2 p1 + p2,廠商 B 面對的市場需求函數為q2 = 50 − 2 p2 + p1。則均衡的市場價格為何?
(A) 0
(B)5
(C)20
(D)40/3
正確答案:登入後查看

詳解 (共 1 筆)

推薦的詳解#2706575
未解鎖
原本題目:9 二家邊際生產成本相同為 5...
(共 325 字,隱藏中)
前往觀看
2
1

私人筆記 (共 2 筆)

私人筆記#4264639
未解鎖
異質廠商的Betrand均衡決定如同於C...

(共 44 字,隱藏中)
前往觀看
2
0
私人筆記#3438124
未解鎖
Bertrand價格競爭:1. 產品同質...
(共 100 字,隱藏中)
前往觀看
0
0