阿摩線上測驗 登入

試題詳解

試卷:110年 - 110 自學進修專科學校學力鑑定_機械工程、造船工程、工業工程、紡織工程、製鞋技術、機電工程、礦冶工程、化學工程、環境工程、陶業工程:微積分#103910 | 科目:專科學力鑑定◆專(一):微積分

試卷資訊

試卷名稱:110年 - 110 自學進修專科學校學力鑑定_機械工程、造船工程、工業工程、紡織工程、製鞋技術、機電工程、礦冶工程、化學工程、環境工程、陶業工程:微積分#103910

年份:110年

科目:專科學力鑑定◆專(一):微積分

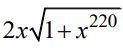
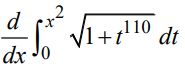
9. 61949e6f98a1c.jpg=?
(A)61949e79e59f9.jpg
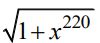
(B)61949e80c19ff.jpg
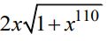
(C)61949e8801834.jpg
(D)61949e8f374ff.jpg

正確答案:登入後查看

詳解 (共 1 筆)

推薦的詳解#5730321
未解鎖


(共 1 字,隱藏中)
前往觀看
0
0