阿摩線上測驗
登入
首頁
>
船用電學與自動控制概要
>
110年 - 110 高等考試_三級_輪機技術:船用電學與自動控制#102812
> 申論題
題組內容
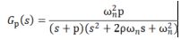
四、考慮具有理想傳感器的閉迴路控制系統,其轉移函數具有形式如下:
該系統與控制器 G
C
(S )一起的開迴路轉移函數的極點和零點如以下複數 平面所示。
(一)請說明控制器參數的範圍,用以使此閉迴路控制系統能穩定運轉。 (10 分)
相關申論題
一、有一直流電動機的端電壓(VT)為 250 V、額定電流為 125 A、總電樞電 阻(Ra)為 0.15 Ω。請計算繼電器 1AR 至 3AR 的R1 ~R3 電阻值以及其Va啟動電壓值,用以將電流限制為額定值的 200%。當電樞電流在每一階 段達到電動機的額定電流時,繼電器 1AR 至 3AR 應該動作。(25 分)
#433864
(一)該電源所提供的總實功率、總虛功率以及總視在功率;(各 3 分, 共 9 分)
#433865
(二)合成負載(the combined loads)的功率因數;(4 分)
#433866
(三)線電流的大小值; (4 分)
#433867
(四)可將系統功率因數校正為 95%落後的星形連接的電容器組的電容值。 (8 分)
#433868
三、考慮某一回授控制系統的方塊圖如下: 請使用 Ziegler-Nichols 極限靈敏度法(Ultimate sensitivity method)來計 算 PID 控制器的參數。(25 分) 註:無須進行脈衝響應實驗(Impulse response experiment)來求Ku 和Pu , 而可以使用以下公式:
#433869
(二)使用給定的控制器類型是否有可能達到μ ≥ 2的穩定裕度(Stability (15 分) margin)?請評估該控制器設計的可行性,並解釋其理由。
#433871
四、如下圖之惠斯頓電橋電路,假設 V1 = 100 V,R1 = 100 Ω,R2 = 200 Ω, R3 = 200 Ω,R4 電阻未知,R5 = 100 Ω,在 R5 電阻上量測不到任何電壓或電流,此時 R4 電阻值應該是多少歐姆?(25 分)
#547616
三、在機艙無人當值(Unattended Machinery Space, UMS)模式下,船舶機艙運作雖無人持續駐守,但必須確保設備自動化、監控系統完整、緊急應變迅速。請說明實施 UMS 時應注意的重點事項。(25 分)
#547615
二、某變壓器的一次側繞組匝數為 1200 匝,二次側繞組匝數為 400 匝。若一次側輸入電壓為 360 V,接上一個負載,試求:⑴匝數比(Turns Ratio)、 ⑵二次側輸出電壓、⑶若負載電流為 15 A,計算一次側電流(假設為理 想變壓器)⑷分析匝數比對電壓、電流與功率的影響。(25 分)
#547614
相關試卷
114年 - 114 高等考試_三級_輪機技術:船用電學與自動控制#128454
114年 · #128454
114年 - 114 普通考試_輪機技術:船用電學與自動控制概要#128434
114年 · #128434
113年 - 113 高等考試_三級_輪機技術:船用電學與自動控制#121241
113年 · #121241
113年 - 113 普通考試_輪機技術:船用電學與自動控制概要#121067
113年 · #121067
112年 - 112 高等考試_三級_輪機技術:船用電學與自動控制#115465
112年 · #115465
112年 - 112 普通考試_輪機技術:船用電學與自動控制概要#115309
112年 · #115309
111年 - 111 普通考試_輪機技術:船用電學與自動控制概要#109317
111年 · #109317
111年 - 111 高等考試_三級_輪機技術:船用電學與自動控制#109236
111年 · #109236
110年 - 110 高等考試_三級_輪機技術:船用電學與自動控制#102812
110年 · #102812
110年 - 110 普通考試_輪機技術:船用電學與自動控制概要#102277
110年 · #102277