題組內容
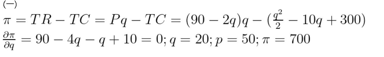
一、某獨占廠商的總成本
;獨占廠商面對市場需求函數為 P = 90-2q,其中P為價格,q為產量。請回答下列問題:
(一)求獨占廠商利潤最大時之價格、產量及利潤。
詳解 (共 1 筆)
詳解

一、某獨占廠商的總成本
;獨占廠商面對市場需求函數為 P = 90-2q,其中P為價格,q為產量。請回答下列問題:
