題組內容
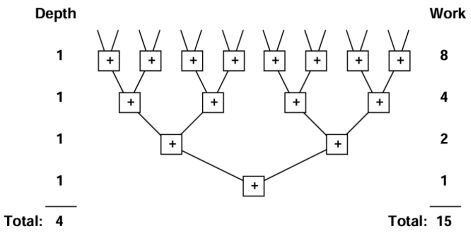
四、總工作量(Work)的定義就是處理器花在某個程式上的時間總和(不包 含待命時間)。而工作深度(Depth)就是根據計算的相依性,找出相依 性最長的那件工作。如下圖所示: 本圖所示之例子,一個程式的工作是將 16 個數加總起來,如果我們把所有運算步驟的相依性繪製成一個圖,那麼 Depth 是 4,而 Work 是 15。 現今考慮一個程式的工作是將 N 個數加總起來的時候:
四、總工作量(Work)的定義就是處理器花在某個程式上的時間總和(不包 含待命時間)。而工作深度(Depth)就是根據計算的相依性,找出相依 性最長的那件工作。如下圖所示: 本圖所示之例子,一個程式的工作是將 16 個數加總起來,如果我們把所有運算步驟的相依性繪製成一個圖,那麼 Depth 是 4,而 Work 是 15。 現今考慮一個程式的工作是將 N 個數加總起來的時候: