阿摩線上測驗
登入
首頁
>
研究所、轉學考(插大)-高等微積分
>
107年 - 107 東吳大學_碩士班招生考試_數學系(A組):高等微積分#107433
> 申論題
題組內容
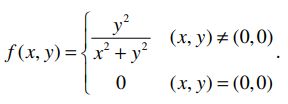
3. (20%)
(a) Prove that f is not continuous at (0, 0) .
相關申論題
(a) If a sequence in R n is convergent, then it is Cauchy.
#460128
(b) The function f ( x ) = cos x + x is uniformly continuous on .
#460129
2.(20%) Suppose that f is three times differentiable on an interval containing a . Show that Can you find the generalization to higher derivatives?
#460130
(b) Find ∂ x f , ∂ y f and determine whether ∂ x f (0,0) and ∂ y f (0,0) exist or not.
#460132
4.(15%) Suppose that f is a homogeneous function of degree a on R n .That is, . Show that ( f is twice differentiable)
#460133
(a)
#460134
(b)Let S = {( x, y ) : 0 ≤ y ≤ 2, y / 2 ≤ x ≤ 1} . EvaluatedA
#460135
(c) Let S = {( x, y ) : y ≥ 0, x 2 + y 2 ≤ 1} . EvaluatedA
#460136
七、(14%) Suppose that V is open and connected in Rn, and that is differentiable on V such that is constantin V.
#464607
六、(16%)Prove that first-order partial derivatives of exist at (0,0), but f is not continuous at (0,0)
#464606
相關試卷
110年 - 110 國立清華大學碩士班考試入學試題_數學系:高等微積分#105486
110年 · #105486
110年 - 110 國立中央大學_碩士班招生考試_數學系/數學組(一般生):高等微積分#105339
110年 · #105339
110年 - 110 國立中山大學碩士暨碩士專班招生考試_應數系碩士班/丙組:高等微積分#104293
110年 · #104293
110年 - 110 國立臺灣大學_碩士班招生考試_數學研究所:高等微積分#101950
110年 · #101950
109年 - 109 東吳大學_轉學生招生考試_數學系三年級︰高等微積分#108263
109年 · #108263
107年 - 107 東吳大學_碩士班招生考試_數學系(A組):高等微積分#107433
107年 · #107433
107年 - 107 東吳大學_暑假轉學生招生考試_數學系三年級:高等微積分#105419
107年 · #105419
104年 - 104 淡江大學 轉學考 高等微積分#55495
104年 · #55495
99年 - 99 淡江大學 轉學考 高等微積分#55746
99年 · #55746
97年 - 97 淡江大學 轉學考 高等微積分#55794
97年 · #55794