三、兩個集水區A和B,集水區A暴雨進入混凝土排水管後,在下游 300 ft處與集水
區B的暴雨匯流,再往下流。混凝土管的坡度(s)為 0.009、曼寧粗糙係數(
Manning roughness coefficient, n)為 0.015。此兩水區的面積、集流時間(
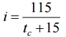
time of concentration, tc)及合理公式的逕流係數(C),列於下表。此地區 5 年頻率的降
雨強度(i)公式為

(in/hr),滿管流的曼寧公式為

,其中d
為混凝土管直徑(ft),Q為流量(cfs)。問:(25 分)