阿摩線上測驗
登入
首頁
>
生產管理
>
95年 - 95 專技高考_工業工程技師:生產管理#38860
> 申論題
題組內容
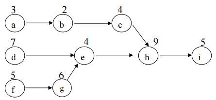
四、某管理者要有效率地將工作指派給工作站,而達到每小時產出 4 件的水準。該部門 每小時工作 56 分鐘。請依據下列法則,將伴隨的先行圖(時間單位為分鐘)所示 的工作,指派給工作站 : (15 分)
⑴以後續工作數的大小為序指派。打結解開者為最大的位置權數。
相關申論題
⑴看板(Kanban)(用於及時生產系統中)
#115531
⑵ BOM
#115532
⑶毛需求及淨需求
#115533
⑷ Design for manufacturing(DFM)
#115534
⑸獨立需求與相依需求
#115535
二、有人說及時生產系統(Just-In-Time Production, JIT)是把存貨堆到上游供應商去。 請由及時生產系統說明此言之道理。此外,請從整體供應鏈的角度,闡述 JIT 之貢獻。 (5 分)
#115536
⑴請求出每種方案的損益兩平點。
#115537
⑵兩方案的產出量各為多少,才會使兩方案有相同的利潤?
#115538
⑶說明採用此二方案的策略。
#115539
⑷倘若預期年需求 12,000 單位,請問那一方案的利潤較高?高多少?
#115540
相關試卷
114年 - 114 專技高考_工業工程技師:生產管理#133610
114年 · #133610
113年 - 113 專技高考_工業工程技師:生產管理#123873
113年 · #123873
112年 - 112 專技高考_工業工程技師:生產管理#117570
112年 · #117570
111年 - 111 專技高考_工業工程技師:生產管理#111889
111年 · #111889
110年 - 110 專技高考_工業工程技師:生產管理#104068
110年 · #104068
109年 - 109 專技高考_工業工程技師:生產管理#93227
109年 · #93227
108年 - 108 專技高考_工業工程技師:生產管理#80723
108年 · #80723
107年 - 107 專技高考_工業工程技師:生產管理#72885
107年 · #72885
107年 - 107 第十八屆TAIROA社團法人台灣智慧自動化與機械人協會_自動化工程師證照考試_Level 3:生產管理#72737
107年 · #72737
106年 - 106 專技高考_工業工程技師:生產管理#66480
106年 · #66480