題組內容
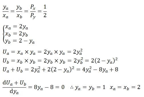
三、假設在一經濟體系中有 a 與 b 兩人,消費 x 與 y 兩種產品,兩消費者的 效用函數相同,均為 U(x,y) = xy,若消費者 a 與 b 擁有兩產品的數量分 為(xa,ya) = (3,1)與(xb,yb) = (1,1)。
⑴請計算此經濟體系之競爭性均衡(competitive equilibrium)。(10 分)
詳解 (共 5 筆)
三、假設在一經濟體系中有 a 與 b 兩...
接續三樓前半的推導,最後的均衡解應為 xa=xb=2 ya=yb=1
想請問~
二、求MRS最適交易均衡
1.2人MRSxy相等:x/y=1*(4-x)/1*(2-y)-這部分是怎麼得出來的呢?
2.交叉相乘求解:2x=4y,x=2y
謝謝~