阿摩線上測驗
登入
首頁
>
國營事業◆1.震波測勘 2.重磁力測勘
>
113年 - 113 經濟部所屬事業機構_新進職員甄試試題_地球物理:1.震波測勘 2.重磁力測勘#136989
> 申論題
題組內容
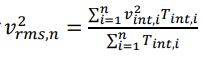
四、如【圖2】所示,請回答下列問題:
(一)請依據【圖2】參數推導Dix Equation,其中
相關申論題
一、請敘述地殼均衡(Isostasy)之黑斯卡南(Heiskanen)學說。
#561574
(一)重力儀測定重力變化可分為哪2種類型?
#561575
(二)磁力測勘法奥重力測勘法之相異處為何?
#561576
(三)磁力資料處理時係利用哪3個主要觀測資料?
#561577
(四)何謂化學殘存磁化?
#561578
(一)若震源間距為SD、受波器間距為RD、波道數為 NC,試請依前述參數列出二维震测 重合數(Fold)公式。
#561579
(二)二維震測的採集排列方式(Spread)為哪2種?
#561580
(三)震測雜波(Noise)分為哪2大類?
#561581
(四)何謂 American Polarity European Polarity
#561582
(五)如【圖1】所示·(A)、(B)、(C)為同一地層反射訊號經不同的Stacking Velocity NMO (Normal Move Out)修正的結果,其中(B)表示所採用的 Stacking Velocity 奥地層速度相當,請說明(A)及(C)的 Stacking Velocity與地層速度之關係為何?
#561583
相關試卷
114年 - 114 經濟部所屬事業機構_新進職員甄試試題_地球物理:1 .震波測勘 2 .重磁力測勘#136959
114年 · #136959
113年 - 113 經濟部所屬事業機構_新進職員甄試試題_地球物理:1.震波測勘 2.重磁力測勘#136989
113年 · #136989
109年 - 109 經濟部所屬事業機構_新進職員甄試_地球物理:1.震波測勘 2.重磁力測勘#92847
109年 · #92847
108年 - 108 經濟部所屬事業機構_新進職員甄試_地球物理:1.震波測勘 2.重磁力測勘#80781
108年 · #80781
102年 - 102 經濟部所屬事業機構_新進職員甄試_地球物理:1.震波測勘 2.重磁力測勘#28362
102年 · #28362
101年 - 101 經濟部所屬事業機構_新進職員甄試_地球物理:1.震波測勘 2.重磁力測勘#28599
101年 · #28599