阿摩線上測驗
登入
首頁
>
熱力學
>
103年 - 103年地方考三等_機械工程#41451
> 申論題
申論題
試卷:103年 - 103年地方考三等_機械工程#41451
科目:熱力學
年份:103年
排序:0
申論題資訊
試卷:
103年 - 103年地方考三等_機械工程#41451
科目:
熱力學
年份:
103年
排序:
0
題組內容
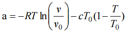
二、一物質之黑姆赫茲自由能(Helmholtz Free Energy)a,有下列之公式表達
,其中 R,v
0
,T
0
,c 為常數,v 為比容,T 為溫度。 試求下列之熱力學性質,以 v,T 表達之。
申論題內容
(一)定壓比熱 C
p
=?(10 分)