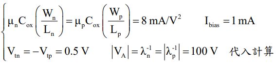
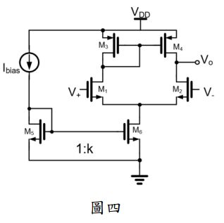
題組內容
四、
如圖四為單級之差動放大器,依上述元件參數,試回答下列問題,其中
= 1 mA。同時在求各種計算時,除
的分析,其他如
等均可不考慮
的影響。又計算值可適當化簡,
即可假如M5M6之比例 k = 2,試求:
(一)求 MOS M1/M2 之
=?mA/V(10 分)
四、
如圖四為單級之差動放大器,依上述元件參數,試回答下列問題,其中
= 1 mA。同時在求各種計算時,除
的分析,其他如
等均可不考慮
的影響。又計算值可適當化簡,
即可假如M5M6之比例 k = 2,試求:
(一)求 MOS M1/M2 之
=?mA/V(10 分)