阿摩線上測驗
登入
首頁
>
經濟學
>
102年 - 102 公務升官等考試_薦任_財稅行政、商業行政、僑務行政:經濟學#19102
> 申論題
題組內容
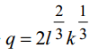
一、一廠商的生產函數為
,生產要素 l、k 之單價分別為 2 及 8,請回答下列問題。
(一)若要素在短期為 8,試求其短期總成本函數?短期生產 16 單位產品所需之 l 為何?此時之短期總成本(ATC)、短期平均總成本(SAC)及平均固定成本(AFC) 各為何?(10 分)
相關申論題
(二)此一廠商之長期成本函數?長期生產 16 單位產品所需之 l 及 k 各為何?此時之長期總成本(LTC)及長期平均總成本(LAC)各為何?(15 分)
#17141
(一)該經濟模型的均衡所得、可支配所得與儲蓄各為多少?(9 分)
#17142
(二)若國內廠商因至海外投資而減少其在國內投資 300,此時均衡所得與貿易餘額(亦即出口減去進口)分別出現多少的變化?(4 分)
#17143
(三)延續第(二)個問題的內容,若政府擬以稅賦措施來完全抵銷國內投資減少對均衡所得的影響,在稅賦方面應增減多少?(4 分)
#17144
(四)延續第(二)個問題的內容,若政府擬以貨幣政策來完全抵銷投資減少對均衡所得的影響,貨幣政策該如何調整?同時貨幣政策影響效果的傳遞過程為何?(8 分)
#17145
四、請詳細定義「名目匯率(Nominal Exchange Rate)」、「實質匯率(Real Exchange Rate)」與「有效匯率(Effective Exchange Rate)」 ,並根據你的 定義解釋這些匯率上升(數值變大)的意涵。(25 分)
#555076
三、請說明「後彎勞動供給」現象發生的原因為何?總合勞動供給是否會產 生這個現象?詳細說明你的理由。(25 分)
#555075
二、為了應付石油價格上升,某國政府採取「對小型車提供補貼同時對大型 車課稅」的政策。請以經濟學角度評估上述政策可能產生的影響。 (25 分)
#555074
一、何謂「反景氣循環的財政政策(Counter-cyclical fiscal policy)」?請設計 一個經濟分析模型詳細討論之。(25 分)
#555073
(四)試舉一例說明柏瑞圖最適以效率觀點出發,其配置可能不符合公平原則。(10 分)
#501558
相關試卷
114年 - 114 公務升官等考試_薦任_外交事務:經濟學(包括國際經濟學)#133079
114年 · #133079
112年 - 112 公務升官等考試_薦任_僑務行政、財稅行政、商業行政:經濟學#117335
112年 · #117335
112年 - 112 公務升官等考試_薦任_外交事務:經濟學(包括國際經濟學)#117200
112年 · #117200
112年 - 112 調查特種考試_三等_財經實務組:經濟學#116119
112年 · #116119
112年 - 112 退除役軍人轉任公務人員特種考試_三等_勞工行政:經濟學#114928
112年 · #114928
112年 - 112 關務特種考試_四等_一般行政:經濟學概要#113879
112年 · #113879
110年 - 110 公務升官等考試_薦任_財稅行政、商業行政:經濟學#103719
110年 · #103719
110年 - 110 公務升官等考試_薦任_外交事務:經濟學(包括國際經濟學)#103425
110年 · #103425
109年 - 109 台灣經濟學奧林匹亞:經濟學與財務金融素養(Literacy of Economics and Finance)#92720
109年 · #92720
109年 - 109 桃園國際機場股份有限公司_新進從業人員招募甄選_行政管理-財務-事務員:經濟學概要#90634
109年 · #90634