題組內容
三、化學反應中牽涉到溶解和沉澱現象,以 AB(S) ⇋ A+ + B-為例,試回答:
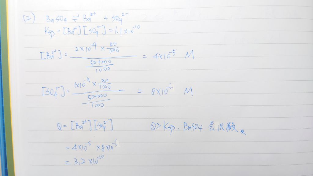
(三)將50mL的2.0×10-4M氯化鋇(BaCl2)水溶液加入200mL的1.0×10-5M硫酸鈉(Na2SO4) 水溶液,請計算說明能否產生硫酸鋇(BaSO4)沉澱(硫酸鋇 Ksp = 1.1 × 10-10)?(3 分)
詳解 (共 1 筆)
詳解
