阿摩線上測驗
登入
首頁
>
經濟學
>
108年 - 108 臺灣港務股份有限公司_新進從業人員甄試_員級/業務行政:經濟學概要#82831
> 申論題
題組內容
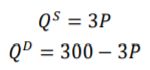
3 假設鮪魚市場的供需方程式可以表示如下,其中
為供給量,P 為價格,
為需求量:
(三) 接續第(二)小題,請計算地方政府得到的稅收金額。
相關申論題
(一) 請說明哪一位在稻米和葡萄酒的生產上同時具有絕對利益。
#336443
(二) 請說明哪一位在稻米的生產上具有比較利益。
#336444
2 某 A 國國內香蕉市場需求曲線為:P=100-Q,其中,P 為香蕉價格,Q 為 香蕉消費量。該國共有 20 位蕉農,每位蕉農固定耕作 1 單位農地,每單 位農地種植香蕉的固定成本為 10 元,變動成本為零。假設今年每單位農 地可生產 4 單位香蕉。 (一)如果 A 國生產的香蕉全部供應 A 國國內市場,試計算: 1. A 國國內香蕉市場之均衡消費量 2. A 國國內香蕉市場之均衡價格 3. A 國國內香蕉市場之消費者剩餘 4. A 國香蕉之總產值 5. A 國平均每位蕉農的利潤 (二)如果 A 國政府拓展香蕉外銷,以每單位價格 40 元,將 20 單位香蕉 銷往 B 國 (假設運輸成本為零,亦無關稅),剩餘香蕉仍全部供應國 內市場。試計算: 1. A 國國內香蕉市場之均衡消費量 2. A 國國內香蕉市場之均衡價格 3. A 國國內香蕉市場之消費者剩餘 4. A 國香蕉之總產值 5. A 國平均每位蕉農的利潤 (三)試繪圖並計算第(二)小題中,A 國政府拓展香蕉外銷的貿易利得?
#336445
(一) 請計算鮪魚市場的均衡價格與均衡數量。
#336446
(二) 假設地方政府向消費者課每單位 10 元的消費稅,新的需求方程式 可表示為: 請計算鮪魚市場新均衡下消費者的支付價格,以及銷售量。
#336447
(一) 請繪出該國的羅倫茲曲線(Lorenz curve)。
#336449
(二) 請計算該國的吉尼係數(Gini coefficient)。
#336450
(三) 倘若該國政府對低階勞動力進行教育訓練,使每一低階勞動力的年 薪亦達 200 萬元,則該國之吉尼係數為何?
#336451
四、請詳細定義「名目匯率(Nominal Exchange Rate)」、「實質匯率(Real Exchange Rate)」與「有效匯率(Effective Exchange Rate)」 ,並根據你的 定義解釋這些匯率上升(數值變大)的意涵。(25 分)
#555076
三、請說明「後彎勞動供給」現象發生的原因為何?總合勞動供給是否會產 生這個現象?詳細說明你的理由。(25 分)
#555075
相關試卷
114年 - 114 公務升官等考試_薦任_外交事務:經濟學(包括國際經濟學)#133079
114年 · #133079
112年 - 112 公務升官等考試_薦任_僑務行政、財稅行政、商業行政:經濟學#117335
112年 · #117335
112年 - 112 公務升官等考試_薦任_外交事務:經濟學(包括國際經濟學)#117200
112年 · #117200
112年 - 112 調查特種考試_三等_財經實務組:經濟學#116119
112年 · #116119
112年 - 112 退除役軍人轉任公務人員特種考試_三等_勞工行政:經濟學#114928
112年 · #114928
112年 - 112 關務特種考試_四等_一般行政:經濟學概要#113879
112年 · #113879
110年 - 110 公務升官等考試_薦任_財稅行政、商業行政:經濟學#103719
110年 · #103719
110年 - 110 公務升官等考試_薦任_外交事務:經濟學(包括國際經濟學)#103425
110年 · #103425
109年 - 109 台灣經濟學奧林匹亞:經濟學與財務金融素養(Literacy of Economics and Finance)#92720
109年 · #92720
109年 - 109 桃園國際機場股份有限公司_新進從業人員招募甄選_行政管理-財務-事務員:經濟學概要#90634
109年 · #90634