阿摩線上測驗
登入
首頁
>
捷運◆應用系統程式設計
>
106年 - 106 臺北捷運:應用系統程式設計#61099
> 申論題
題組內容
四、 關於資料結構與演算法,請回答以下問題(共 20 分):
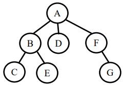
(三) 為了記錄每個人與人之間的好友關係,可以使用 graph 記錄。一個節點 (node) 代表一個人,而連接節點與節點 之間的邊 (edge) 則代表人與人之間的關係。請以廣度搜 尋法 (Breadth-First Search, BFS) 搜尋以下的graph, 尋訪結果順序為何? (6 分)
相關申論題
(四) 承上題,請寫出深度搜尋法 (Depth-First Search, DFS) 演算法,找出某人能透過好友關係連結到的所有人。 (6 分)
#243336
題目:臺北捷運的女性旅客比例約佔 60%、40 歲以下旅客 約佔 75%,請自行擇定目標客群,並以鼓勵搭乘捷 運或增加旅客黏著度為訴求,設計一項主題式系列 活動(亦可設計為短期連續性活動,行銷操作形式 不拘)。
#243337
題目:臺北捷運除了提供安全舒適便捷的運輸服務外, 也期許能夠成為臺北都會城市進步的前導車,與 民眾共同建構更美好的臺北城市生活。試以「捷 運 2.0 臺北向前行」或「一流捷運 美好臺北」 做為臺北捷運品牌形象主題,研擬一份「品牌行 銷」企劃書,藉以型塑臺北捷運品牌形象,並對外 行銷。
#243338
一、在電子票證票價 8 折優惠不取消之前提下,可以採何種票價 訂定策略,增加票箱收入?試研擬一項實施方案、並說明執 行方式。(35 分)
#243339
二、若取消電子票證 8 折優惠,可以採取何種行銷票價措施,回 饋高度使用捷運的旅客。試擬 2 種回饋方案,並說明之。(45 分)
#243340
三、捷運票價訂定,除了營運成本之外,請說明尚需考慮哪些外部因 素(20 分)
#243341
一、請採用運輸需求管理 手 法 ( Transportation Demand Management),研擬解決文湖線部分路段尖峰擁擠的實施方 案,並說明方案內容、執行方式及預期成果。(85 分)
#243342
二、請說明您所擬的實施方案,是改變傳統運輸規劃程序中哪 一步驟的做法。(15 分)
#243343
(一) 依據 Android 的設計,當 App 啟動後將會由一個主要之 UI 執 行緒(Thread)控制使用者介面上的各元件,而其他執行緒將無 法直接控制使用者介面上的各元件,若 App 需要多執行緒時, 請解釋在 Android 中可使用哪三種方式讓 App 產生多執行緒, 並可與 UI 執行緒相互溝通,請以簡單的程式碼示範並講解。 (20 分)
#243344
(一) 在 Java 語言中,請解釋介面(interface)的主要功能以及與 抽象類別(Abstract Class)的差異性。(5 分)
#243346
相關試卷
107年 - 10704 臺北捷運:應用系統程式設計#79403
107年 · #79403
106年 - 106 臺北捷運:應用系統程式設計#61099
106年 · #61099