阿摩線上測驗
登入
首頁
>
放射物理學
>
112年 - 112 高等考試_三級_輻射安全:放射物理學#115771
> 申論題
申論題
試卷:112年 - 112 高等考試_三級_輻射安全:放射物理學#115771
科目:放射物理學
年份:112年
排序:0
申論題資訊
試卷:
112年 - 112 高等考試_三級_輻射安全:放射物理學#115771
科目:
放射物理學
年份:
112年
排序:
0
題組內容
二、有關鈾
及釷
衰變系列,請回答下列問題:
申論題內容
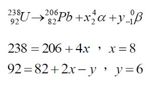
(三) 試問一個
原子衰變至最終穏定原子核的過程,會發射出多少個阿伐粒子和貝他(β-)粒子?(5分)
詳解 (共 1 筆)
詳解
提供者:29度C晴時多雲