題組內容
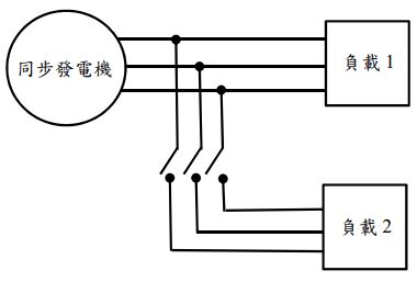
三、如圖所示為一連接負載的同步發電機,發電機在無載時的頻率為 61 Hz, 且其功率/頻率之斜率
= 1.0 MW/Hz。倘若負載 2 正要和負載 1 並聯, 其中,負載 1 在功率因數 0.8 落後時消耗 1000 kW,而負載 2 在功率因數 0.7 落後時消耗 600 kW,試求:
三、如圖所示為一連接負載的同步發電機,發電機在無載時的頻率為 61 Hz, 且其功率/頻率之斜率
= 1.0 MW/Hz。倘若負載 2 正要和負載 1 並聯, 其中,負載 1 在功率因數 0.8 落後時消耗 1000 kW,而負載 2 在功率因數 0.7 落後時消耗 600 kW,試求: