阿摩線上測驗
登入
首頁
>
機械原理(機械概論、大意)
>
110年 - 110 中央印製廠_新進人員甄試_機械工程員:機械原理#105283
> 申論題
題組內容
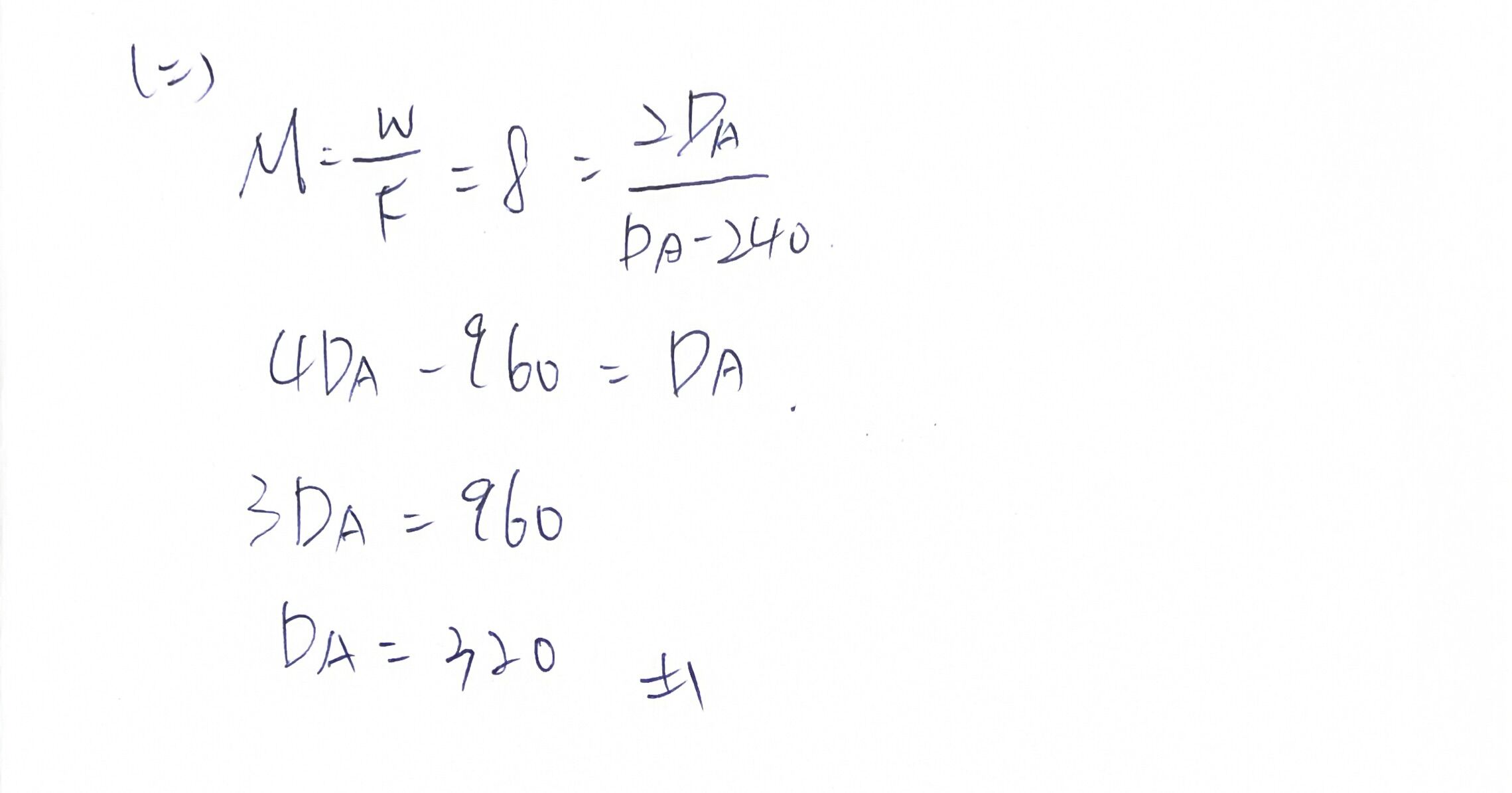
題目五:【20分】
有一惠斯頓差動滑車(假設無摩擦損失),該滑車小輪直徑240mm,施力200N可拉動鍊條2m,而拉升重物25cm,試求:
(二)滑車大輪直徑為何?【10分
詳解 (共 1 筆)
詳解
提供者:Tom Wang
相關申論題
(一)總和彈簧常數為何?【5分]
#446585
(二)若負重為100N,總伸長量為何?【5分]
#446586
(一)最大壓力。【5分]
#446587
(二)扭矩容量。【5分
#446588
(一)最大壓力。【5分】
#446589
(二)扭矩容量。【5分】
#446590
(一)旋轉平面之模數。【5分]
#446591
(二)兩輪中心距。【5分
#446592
(三)法平面上之周節。【5分]
#446593
(四)旋轉平面之周節。【5分】
#446594
相關試卷
114年 - 114 關務特種考試_四等_機械工程(選試英文):機械原理概要#126566
114年 · #126566
113年 - 113-2 國營臺灣鐵路股份有限公司_從業人員甄試試題_第10階-助理技術員:機械原理概要#125611
113年 · #125611
113年 - 113 臺灣菸酒股份有限公司_年從業職員及從業評價職位人員甄試試題_從業評價職位人員:機械概論#123491
113年 · #123491
113年 - 113 中央印製廠新進人員甄試試題_印製技術員:機械概論#123139
113年 · #123139
113年 - 113 關務特種考試_四等_機械工程(選試英文):機械原理概要#119482
113年 · #119482
112年 - 112 中央銀行所屬中央印製廠、中央造幣廠_新進人員聯合甄試試題_印製技術員/機械技術員:機械概論#120212
112年 · #120212
112年 - 112 地方政府特種考試_四等_機械工程:機械原理概要#118123
112年 · #118123
112年 - 112 原住民族特種考試_四等_機械工程:機械原理概要#116511
112年 · #116511
112年 - 112 普通考試_機械工程:機械原理概要#115401
112年 · #115401
112年 - 112 鐵路特種考試_員級_機械工程:機械原理概要#114870
112年 · #114870