阿摩線上測驗 登入

申論題資訊

試卷:114年 - 114 地方政府公務特種考試_三等_土木工程:測量學#134701
科目:測量學(概要、大意)
年份:114年
排序:0

題組內容

一、測量學可分為「平面測量」與「大地測量」兩類。請問:

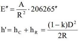
參考公式

申論題內容

(二)當 AB 兩點的水平距離 700 公尺,如果用三角高程測量,但忘了考慮地球曲率,會造成多少誤差?(假設地球半徑 6370 公里)