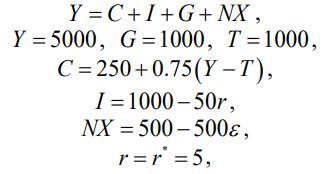
題組內容
假設一總體經濟體系下的商品市場均衡狀態由下面幾條方程式所構成:

其中,Y 是國內生產毛額 (Gross Domestic Product, GDP),C是消費支 出, I 是投資支出,G 是政府購買, NX 是淨出口 (Net Export),T 是政 府租稅,r (r*)是國內 (世界) 實質利率,ε 則是匯率。 根據上述訊息,請回答以下問題:
(二) 在其他條件不變之下,唯有當世界利率從 5 上升到 10 時候,請解 出國民儲蓄、貿易餘額以及均衡匯率。
詳解 (共 1 筆)
詳解
r = r* = 5
A、 在這個經濟中,求出國民儲蓄、投資、貿易餘額以及均衡匯率。
B、 現在假設 G 增加到 1250,求出國民儲蓄、投資、貿易餘額以及均衡匯率的值。
C、 現在假設世界利率從5%上升到 10%(G 又是 1000),求出國民儲蓄、投資、貿易餘額以及均衡匯率的值。解釋你的結果。
【答案】
A、國民儲蓄是指一國收入減去消費和政府購買,包含私人儲蓄和公共儲蓄。已知收入和政府購買,通過消費函數可以解出消費。因此國民儲蓄等於:S = Y -C -G = 5000 -(250 + 0.75(5000 -1000)) -1000 = 750
投資與利率負相關,世界利率為5,因此 I = 1000 -50 × 5 = 750
淨出口等於儲蓄和投資之差,因此NX = S- I = 750 -750 = 0
已經求出了淨出口,我們可以求匯率: NX = 500 -500ε = 0 , ε=1
B、 根據新的政府購買,用同樣的分析方法得到:
S = Y- C- G = 5000- (250 + 0.75(5000 -1000)) 1250 = 500
I = 1000- 50 × 5 = 750
NX = S- I = 500- 750 = 250
ε=1.5
政府購買的增加減少了國民儲蓄,但是由於世界利率不變,投資仍然不變。因此,國內投資現在超過國內儲蓄,超過部分必須從國外金融市場貸款。
C、 根據新的利率,用同樣的分析方法得到:
S = Y -C- G = 5000 (250 + 0.75(5000- 1000)) -1000 = 750
I = 1000 -50 ×10 = 500
NX = S -I = 750 500 = 250
ε=0.5
在(A)中儲蓄沒有改變,但是世界利率越高,投資越少。