阿摩線上測驗
登入
首頁
>
電子學
>
114年 - 114 普通考試_電力工程、電子工程、電信工程:電子學概要#128790
> 申論題
題組內容
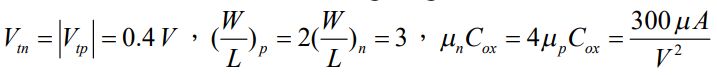
四、如圖四所示之 CMOS 電路,若 QP、QN 之參數分別如下:
試求:
(二)
=?
相關申論題
(一)二極體直流電流=?
#549644
(二)二極體之小信號電阻(small-signal resistance) =?
#549645
(三)繪出圖一之小信號等效電路。
#549646
(四)計算小信號等效電路中二極體之電壓峰值 (peak)=?
#549647
(一) ,
#549648
(二) ,
#549657
(三) ,
#549658
(四) ,
#549659
(五)。
#549660
(一)當是一個均值為零的小信號,請計算 。
#549649
相關試卷
115年 - 115 身心障礙特種考試_三等_電子工程:電子學#138969
115年 · #138969
115年 - 115 身心障礙特種考試_四等_電子工程:電子學概要#138929
115年 · #138929
115年 - 115-1 臺北市立大安高工教師甄選試題_電子/控制科:電子學#138452
115年 · #138452
115年 - 115 國營臺灣鐵路股份有限公司從業人員_甄試試題_第10階-助理技術員-電力、電務:電子學概要#138261
115年 · #138261
114年 - 114 地方政府公務特種考試_三等_電力工程、電子工程、電信工程:電子學#134800
114年 · #134800
114年 - 114 地方政府公務特種考試_四等_電力工程、電子工程、電信工程:電子學概要#134742
114年 · #134742
114年 - 114 專技高考_電子工程技師:電子學#133712
114年 · #133712
114年 - 114 公務升官等考試_薦任_電力工程、電子工程、電信工程:電子學#133247
114年 · #133247
114年 - 114 原住民族特種考試_四等_電子工程:電子學概要#130947
114年 · #130947
114年 - 114 專技高考_專利師(選試專業英文及電子學)、專利師(選試專業日文及電子學):電子學#130110
114年 · #130110