題組內容
一、一家廠商使用勞動 L 為單一投入,依據生產函數 q =
來生產 q。此產品每單位售價為$450,工資率每小時$225:
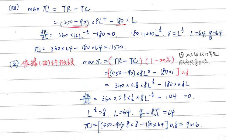
(五)現在假設廠商需支付利潤稅 20%,請求出最大利潤下的勞動僱用量、產出數量與利潤。(6 分)
詳解 (共 1 筆)
詳解

一、一家廠商使用勞動 L 為單一投入,依據生產函數 q =
來生產 q。此產品每單位售價為$450,工資率每小時$225:
