題組內容
4. 若電子的速度為光速的 0.8 倍,試問:
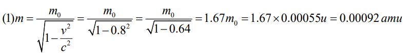
(1)此時電子的質量為多少 amu?
詳解 (共 1 筆)
詳解
電子靜止時質量為 0.00055 amu
