阿摩線上測驗
登入
首頁
>
研究所、轉學考(插大)-資料結構
>
100年 - 100 樹德科技大學_碩士班暨碩士在職專班入學考試筆試試題_資訊管理系碩士班:資料結構#104276
> 申論題
題組內容
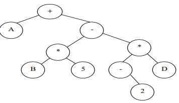
1. 參考下圖
(2)後序追蹤結果為何? 10%
相關申論題
(1)前序追蹤結果為何? 10%
#441407
2. (1)有一整數陣列 int Arr[40]; 則此陣列共佔多少位元組(設 sizeof(int)=8)? 10%
#441409
(2)若 A[0]在記憶體中的位址為 c10216,則元素 A[10] 的位址為何? 10%
#441410
3.畫出環狀鍊結(Circular Lists)和雙向鍊結(Doubly Linked Lists)的示意圖,並比較他們的操作方式和優缺點 40%
#441411
4.請以虛擬碼表示一個 1 加到 N 的遞迴函式 20%
#441412
8. [10%] Please write the quick-sort code to sort n items and explain its average and worst-case time complexity.
#483201
7. [10%] Assume that a hash function (h(key)- key mod 8) is used for a chained hash table with linked lists, where linked lists can be used to handle the collision due to hash function. If we insert 10 items whose keys are 8, 9, 13, 17, 10, 15, 20, 16, 25 and 26 to an empty chained bash table with linked lists, what are the execution results of the hash table?
#483200
6. [10%] Please write a recursive function F(n) to calculate Fibonacci numbers. (note: F(0)=1, F(1)=1, F(n)=F(n-1)+F(n-2))
#483199
(d) Breadth-First Search [5%]
#483198
(c) Minimum Spanning Tree [5%]
#483197
相關試卷
110年 - 110 國立臺灣科技大學_碩士班招生試題_電子工程系:資料結構#112844
110年 · #112844
110年 - 110 國立高雄科技大學_碩士班招生考試_電腦與通訊工程系:資料結構(乙組)#110488
110年 · #110488
110年 - 110 國立高雄科技大學_碩士班招生考試_資訊工程系:資料結構#110422
110年 · #110422
110年 - 110 國立中山大學_碩士暨碩士專班招生考試_資管系/乙組:資料結構#105545
110年 · #105545
110年 - 110台灣聯合大學系統_碩士班招生考試_電機類:資料結構#104954
110年 · #104954
110年 - 110 國立中央大學_碩士班招生考試_資訊管理暨大數據分析類:資料結構#103860
110年 · #103860
110年 - 110 國立政治大學_碩士班招生考試_資訊管理學系/科技組:資料結構#102881
110年 · #102881
110年 - 110 國立臺灣大學_碩士班招生考試_生物機電工程學研究所丙組:資料結構(C)#100901
110年 · #100901
110年 - 110 國立臺灣大學_碩士班招生考試_ 工程科學及海洋工程學研究所丁組:資料結構(A)#100759
110年 · #100759
109年 - 109 國立高雄大學_碩士班招生考試_資訊工程學系:資料結構#103082
109年 · #103082