阿摩線上測驗 登入

申論題資訊

試卷:113年 - 113-1 臺北市立中正高中_教師甄選初試試題:化學科#119554
科目:教甄◆化學專業/化工科
年份:113年
排序:0

題組內容

6. 某生做了下面題目 1:【某溫度下,已知 AgCl 之 Ksp=1.00✖10-10,而662affbd896f2.jpg之解離平衡常 數 Kd=1.00✖10-8,今在 2.0M 氨水溶液中加入足量 AgCl 達平衡時,求:AgCl 在 2.0M 氨水中之溶解度為若干 M?】

其正確解法如下:662affee6b118.jpg兩式相加:662b0010b3efb.jpg平衡: -xM (2-2x)M xM xM
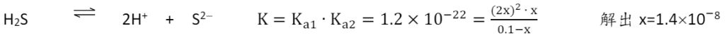
該生又做了另外一題 2.多質子酸解離的題目:662b003b885d4.jpg該生仿照上一題的作法,將這兩步解離的式子相加:

662b00626eb3c.jpg平衡:662b0098ad14c.jpg請回答下列問題:(共 8 分)

申論題內容

(2) 所以第 2 題要怎麼做才正確?又為何要這樣子做?並把[H+ ]及[S2− ]的正確答案算出來。