阿摩線上測驗
登入
首頁
>
輻射防護師◆游離輻射防護專業
>
99年 - 99-2 行政院原子能委員會_輻射防護師:游離輻射防護專業#27724
> 申論題
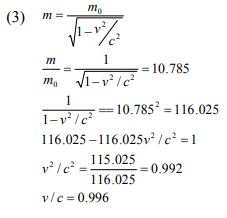
(3)電子速度 v 與光速 c 的比值
詳解 (共 1 筆)
詳解
提供者:Goal
相關申論題
1. 已知鎢原子之K層束縛能為70 keV、L層的束縛能為12 keV,M層的束縛能為3 keV,請問 KLM電子的動能= (1) keV
#50644
2. 鈷六十治療機的輸出,每個月約衰減掉 (2) %
#50645
3. 以游離腔度量空氣中某點的曝露=4.1 R(侖琴),請換算此點的空氣吸收劑量約為 (3) mGy
#50646
4. 2.5 eV 之中子對核反應的截面積,是熱中子對核反應的截面積的 (4) 倍
#50647
5. 每次 235U 原子之熱中子分裂將釋出 (5) MeV 的能量
#50648
6. 已知 10 MeV 的電子在水中的射程 R 及制動輻射產率 B 分別為 4.917g/cm2 及 0.0404,則 其在水中的平均游離阻擋本領等於 (6) MeV.cm 2 /g。
#50649
7. 請寫出內轉換(IC)的英文全名: (7) 。
#50650
8. 已知 20 MeV 光子束在水中之質量衰減係數為 0.0182 cm2 /g ,則其在水中的平均射程 (mean range)為 (8) cm,半值層為 (9) cm。
#50651
9. 內轉換電子、鄂惹電子、制動輻射、特性輻射、β+ 粒子及β- 粒子,能譜為連續分布的共 有 (10) 3 項。
#50652
10. 請寫出 核種電子捕獲(EC)衰變的反應式。 (11)
#50653
相關試卷
114年 - 114-2 行政院原子能委員會_輻射防護師:游離輻射防護專業#132414
114年 · #132414
114年 - 114-1 行政院原子能委員會_輻射防護師:游離輻射防護專業#126999
114年 · #126999
113年 - 113-2 行政院原子能委員會_輻射防護師:游離輻射防護專業#124951
113年 · #124951
113年 - 113-1 行政院原子能委員會_輻射防護師:游離輻射防護專業#122515
113年 · #122515
112年 - 112-2 行政院原子能委員會_輻射防護師:游離輻射防護專業#118668
112年 · #118668
112年 - 112-1 行政院原子能委員會_輻射防護師:游離輻射防護專業#114279
112年 · #114279
111年 - 111-2行政院原子能委員會_輻射防護師:游離輻射防護專業#111457
111年 · #111457
111年 - 111-1 行政院原子能委員會_輻射防護師:游離輻射防護專業#108401
111年 · #108401
110年 - 110-2 行政院原子能委員會_輻射防護師:游離輻射防護專業#103867
110年 · #103867
110年 - 110-1 行政院原子能委員會_輻射防護師:游離輻射防護專業#98729
110年 · #98729