阿摩線上測驗
登入
首頁
>
研究所、轉學考(插大)、學士後-計算機概論
>
110年 - 110 國立臺北教育大學_碩士班招生考試_資訊科學系:計算機概論#105558
> 申論題
題組內容
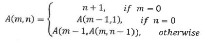
7.函式A(m,n)的定義如下:
(B)用虛擬程式碼(或其他程式語言)以遞廻方式撰寫函式A(mn)。(5%)
相關申論題
(C)合併排序法(merge sort)的最壞時間為0(nlog(n)
#449024
(D)快速排序法(quick sort)最壞時間為O(nlog(n))
#449025
5.寫出以下電路圖的狀態圖(state diagram)(10%)
#449026
(A)計算A(2,2)=?(5%)
#449032
8.請比較下列三種程式語言C、Jva以及Javacript,其程式執行原理的差異。 (10%)
#449034
9.下面是一個以Java撰寫的程式,請寫出執行後輸出的結果。(10%)
#449035
10.下面一個以C撰寫的程式,請寫出執行後輸出的結果。(10%)
#449036
1.下列C語言程式執行後,輸出顯示為何?(10%)
#449018
2.有關樹狀資料結構(tree)列何者錯誤?寫出理由。(10%) (A)以陣列储存樹相較於以鏈結串列儲存樹,其存取任一節點之效率比較高 (B)當樹較為平衡時,使用陣列儲存樹為合適 (C)使用鏈結串列儲存樹不會浪費記憶體空間 (D)AVL樹用以加快搜尋速度
#449019
(A) LRU replacement (5%)
#449020
相關試卷
114年 - [無官方正解]114 臺灣綜合大學系統_學士班轉學生考試試題:計算機概論#137952
114年 · #137952
114年 - [無官方正解]114 台灣聯合大學系統_學士班轉學生考試試題:計算機概論#137764
114年 · #137764
110年 - 110 國立中央大學_碩士班招生考試_網路學習科技研究所:計算機概論#124075
110年 · #124075
110年 - 110 國立臺灣科技大學_碩士班招生試題_營建工程系(戊組):計算機基本概念與程式設計#113110
110年 · #113110
110年 - 110 國立高雄科技大學_碩士班招生考試_電子工程系:計算機概論(丙組)#110504
110年 · #110504
110年 - 110 國立高雄科技大學_碩士班招生考試_資訊管理系:計算機概論#110413
110年 · #110413
110年 - 110 國立臺北教育大學_碩士班招生考試_資訊科學系:計算機概論#105558
110年 · #105558
110年 - 110 國立中山大學_碩士暨碩士專班招生考試_資管系/甲、乙組:計算機概論#105543
110年 · #105543
110年 - 110 國立政治大學_碩士班暨碩士在職專班招生考試_ 資訊科學系碩士在職專班一般組:計算機概論#105482
110年 · #105482
110年 - 110 國立清華大學碩士班考試入學試題_資訊系統與應用研究所:計算機概論#104988
110年 · #104988