阿摩線上測驗
登入
首頁
>
研究所、轉學考(插大)◆作業研究
>
110年 - 110 國立臺灣大學_碩士班招生考試_工業工程學研究所系統工程組:作業研究#101830
> 申論題
題組內容
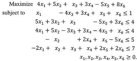
3. (15 points) Consider the following lincar programming problem.
(a) (5 points) Let the dual variables corresponding to the first to fifh constraints be y
1
, y
2
, y
3
, y
4
, y
5
. What is the dual problem?
相關申論題
(a) (5 points) Let us introduce the slack variables x3, x4, x5, x6 to constraints 1, 2, 3, and 4, respectively so X1,1220 that the objective function and equations, which are called dictionary, can be written asWe let x3,x4,x5,X6 in the above dictionary be basic variables, and x1and x2 be the nonbasic variables. What is the initial feasible solution (x1, X2,X3,X4.X5, X6.Z) based on the above dictionary in (a) if both nonbasic variables are set as zero?
#427228
(b) (5 points) There are totally six variables, x1, x2,X3,X4, X5,X6, with only four equations. Four out of six variabies can be expressed by the remaining two variables. For example, x3 is cxpressed by x1 and X2. Similarly, x4, x5, x6 arc expressed by X1 and x2 as well. Since we would like to increase z, let us increase x, from zero. To kecp the feasibility, what is the maximum value we are able to increase the value in x1?
#427229
(c) (5 points) In (a), the current basis is composed of x3,x4,X5, X6. Suppose x1 enters the basis and x3 lcaves the basis. What is the dictionary at the next iteration? In other words, please complete the followings.
#427230
(d) (5 points) Following (c), if optimal, justify it. If not, what is the dictionary at the next iteration?
#427231
(e) (5 points) What is the optimal dictionary of this probiem? In other words, please complete the followings in the final dictionary.
#427232
(a) (5points) Only X3, x4,x5 are introduced as the slack variables for the first, second, and third constraints. What is the criteria of the value of x2 if x2 is a nonbasic variable?
#427233
(b) (S points) What is the optimal dictionary?
#427234
(b) (10 points) Someone tells us that the optimal solution is . Use the complementary slackness to obtain the value of dual variables.
#427236
4.(10 points) When one person is infected with c-virus and interacts with another one who is healthy, there is a probabilityp = 0.2 to get the healthy one infected. Two people in the community are selected randomly at any single period of time and interact with each other. Let xn be the number of infective people at time n and there are five people in the community. Given x0 = 1, what is the mean time to infect everyone in the community?
#427237
(a) (10 points) the average time a client spends in the post office?
#427238
相關試卷
110年 - 110 國立中央大學_碩士班招生考試_工業管理研究所/不分組(一般生):作業研究#105796
110年 · #105796
110年 - 110 國立臺灣大學_碩士班招生考試_工業工程學研究所系統工程組:作業研究#101830
110年 · #101830
110年 - 110 國立臺灣科技大學_碩士班招生試題_工業工程學研究所系統工程組:作業研究#100721
110年 · #100721