阿摩線上測驗
登入
首頁
>
研究所、轉學考(插大)-高等微積分
>
110年 - 110 國立中央大學_碩士班招生考試_數學系/數學組(一般生):高等微積分#105339
> 申論題
題組內容
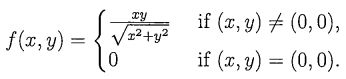
(6) (20 points) Let f :R
2
→ R be defined by
(b) (10 points) Investigate the differentiability of f at (0,0). 悲
相關申論題
(3) (15 points) Let (M,d) be metric space and M. Show that the set {x1, x2, x3,...] is compact set.
#447232
(4) (20 points) Every rational t can be written in the form, where n> 0, and m and n are integers without any common divisors. When a = O, we take n = 1. Consider the function f defined on R by Prove that f is continuous at every irrational point, and that f has a discontinuity at every rational point.
#447233
(5) (15 points) Let f : Rn → Rm be continuous on Rn and let B be a bounded subset in Rn. Prove or disprove (if you think the following statement is false, give a counter-example and prove that your example works) that f(B) is bounded.
#447234
(a) (10 points) Show that f is continuous at (0,0).
#447235
(1.1) (2 points) Every Cauchy sequence in Q is convergent.
#447221
(1.2) (2 points) If are bounded sequences in R, then
#447222
(1.3) (2 points) Every compact set in the metric space is closed and bounded set.
#447223
(1.4) (2 points) If A is connected inRn, thenA is also connected.
#447224
(1.5) (2 points) The function f(x) = z is continuous on [0, 1] U{2}.
#447225
(1.6) (2 points) Let f be a continuous real function on R and let Z(f) be the set of all at which f(p) = 0. Then Z(f) is closed.
#447226
相關試卷
110年 - 110 國立清華大學碩士班考試入學試題_數學系:高等微積分#105486
110年 · #105486
110年 - 110 國立中央大學_碩士班招生考試_數學系/數學組(一般生):高等微積分#105339
110年 · #105339
110年 - 110 國立中山大學碩士暨碩士專班招生考試_應數系碩士班/丙組:高等微積分#104293
110年 · #104293
110年 - 110 國立臺灣大學_碩士班招生考試_數學研究所:高等微積分#101950
110年 · #101950
109年 - 109 東吳大學_轉學生招生考試_數學系三年級︰高等微積分#108263
109年 · #108263
107年 - 107 東吳大學_碩士班招生考試_數學系(A組):高等微積分#107433
107年 · #107433
107年 - 107 東吳大學_暑假轉學生招生考試_數學系三年級:高等微積分#105419
107年 · #105419
104年 - 104 淡江大學 轉學考 高等微積分#55495
104年 · #55495
99年 - 99 淡江大學 轉學考 高等微積分#55746
99年 · #55746
97年 - 97 淡江大學 轉學考 高等微積分#55794
97年 · #55794