題組內容
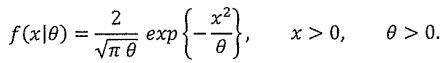
2. Let X1,...., Xn be a random sample from the following density function
(b) (10 points) Use the MLE in (a) to obtain a 100 x (1 - c)% confidence interval for θ.
Hint:
is distributed as a Chi-square distribution.
2. Let X1,...., Xn be a random sample from the following density function
(b) (10 points) Use the MLE in (a) to obtain a 100 x (1 - c)% confidence interval for θ.
Hint:
is distributed as a Chi-square distribution.