阿摩線上測驗 登入

申論題資訊

試卷:110年 - 110 國立臺灣大學_碩士班招生考試_農藝研究所生物統計學甲組:統計理論#102885
科目:研究所、轉學考(插大)◆統計理論
年份:110年
排序:0

題組內容

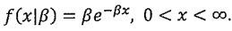
8. Let Xi, X2 be a random sample from the distribution having pdf617656b51400d.jpg When 617656e161b03.jpg
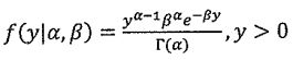
 Hint: the pdfof Gamma(a,β) is given by 61765722ef28b.jpg

申論題內容

(b) (5 points) Find the power of this test.