阿摩線上測驗
登入
首頁
>
研究所、轉學考(插大)-微積分
>
103年 - 103 國立臺北大學學士班暨進修學士班轉學生招生考試_統計、經濟學系學士班暨進修學士班二、三年級:微積分#116791
> 申論題
題組內容
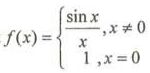
2. Let
(b) (9%) Determine whether f is differentiable at x=0 or not, and justify your answer as well.
相關申論題
(a) (9%) Find the Taylor series for f(x) at 1.
#499056
(b) (6%) Approximate 1.2 by P4(x), the 4th Taylor polynomial for f(x) at 1.
#499057
(a) (6%) Determine whether f is continuous at 0 or not, and justify your answer as well.
#499058
3. (20%) Find the relative extrema and saddle points of f(x,y)=3x3y+2y3-3xy.
#499060
(a) (6%)
#499061
(b)(7%)
#499062
(c)(7%) f(x)=e2xsec2x
#499063
(a) (5%)
#499064
(b)(7%)
#499065
(c) (0%) , R : the region bounded by y=x and y=
#499066
相關試卷
114年 - 114 臺灣綜合大學系統_學士班轉學生考試試題:微積分A#137897
114年 · #137897
114年 - 114 臺灣綜合大學系統_學士班轉學生考試試題:微積分B#137819
114年 · #137819
114年 - 114 台灣聯合大學系統_學士班轉學生考試試題:微積分#137762
114年 · #137762
114年 - 114 台灣聯合大學系統_學士班轉學生考試試題:微積分#137761
114年 · #137761
114年 - 114 國立臺灣大學_轉學生招生考試_物理學系/土木工程學系/生物環境系統工程學系/生物機電工程學系:微積分(B)#137745
114年 · #137745
114年 - 114 國立臺灣大學_轉學生招生考試_數學系:微積分(A)#137744
114年 · #137744
113年 - 113 國立嘉義大學_轉學生招生考試試題_(全校):微積分#122986
113年 · #122986
112年 - 112 國立臺灣大學_碩士班招生考試題:微積分(D)#130254
112年 · #130254
112年 - 112 國立陽明交通大學_碩士班入學招生試題_統計學研究所﹕微積分與線性代數#130252
112年 · #130252
112年 - 112 國立嘉義大學_轉學生招生考試試題:微積分#123297
112年 · #123297