阿摩線上測驗
登入
首頁
>
研究所、轉學考(插大)-微積分
>
103年 - 103 國立臺北大學學士班暨進修學士班轉學生招生考試試題_統計學系、經濟學系學士班暨進修學士班二、三年級:微積分#116859
> 申論題
題組內容
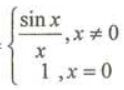
2. Let f(x) =
(b) (9%) Determine whether f is differentiable at x=0 or not, and justify your answer as well.
相關申論題
(a) (9%) Find the Taylor series for f(x) at 1.
#499317
(b) (6%) Approximate by P4(x), the 4th Taylor polynomial for f(x) at 1.
#499318
(a) (6%) Determine whether f is continuous at 1 or not, and justify your answer as well.
#499319
3. (20%) Find the relative extrema and saddle points of f(x,y)=3x2y+2y3-3xy.
#499321
(a) (6%)
#499322
(b)(7%)
#499323
(c)(7%) f(x)=e2xsec2x
#499324
(a) (5%)
#499325
(b)(7%)
#499326
(c) (0%%) . R: the region bounded by y=x and y=
#499327
相關試卷
113年 - 113 國立嘉義大學_轉學生招生考試試題_(全校):微積分#122986
113年 · #122986
112年 - 112 國立臺灣大學_碩士班招生考試題:微積分(D)#130254
112年 · #130254
112年 - 112 國立陽明交通大學_碩士班入學招生試題_統計學研究所﹕微積分與線性代數#130252
112年 · #130252
112年 - 112 國立嘉義大學_轉學生招生考試試題:微積分#123297
112年 · #123297
112年 - 臺灣綜合大學系統112 學年度學士班轉學生聯合招生考試試題 微積分A#120563
112年 · #120563
112年 - 112 臺灣聯合大學系統(清華、陽交、中央 聯招)學士班轉學生考試_A3、A4、A6理工組:微積分#117689
112年 · #117689
112年 - 112 臺灣聯合大學系統(清華、陽交、中央三校聯招)學士班轉學生考試_A2商管組:微積分#117687
112年 · #117687
112年 - 112 國立高雄師範大學轉學生招生考試試題_電子工程學系二年級:微積分#116290
112年 · #116290
112年 - 112 國立高雄師範大學_轉學生招生考試試題_電機工程學系二年級:微積分#116289
112年 · #116289
111年 - 111 國立臺北大學_轉學生招生考試試題_經濟學系二年級:微積分#117728
111年 · #117728