題組內容
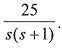
1. A control system is shown in Fig.I with D1(s)=1,G(s)=

(b) The control performance in Fig.1(a) can be improved by the system in Fig. 1(b) with
. Please design Ki and K2 to achieve 25%
s(s+1)
overshoot and settling time 0.2 sec. (15%)
1. A control system is shown in Fig.I with D1(s)=1,G(s)=

(b) The control performance in Fig.1(a) can be improved by the system in Fig. 1(b) with
. Please design Ki and K2 to achieve 25%
s(s+1)
overshoot and settling time 0.2 sec. (15%)