阿摩線上測驗
登入
首頁
>
研究所、轉學考(插大)-高等微積分
>
104年 - 104 淡江大學 轉學考 高等微積分#55495
> 申論題
題組內容
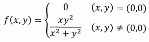
8. (10%)
(c) Show that / is not differentiable at (0,0).
相關申論題
(a) Show that an is monotone increasing (by induction).
#208996
(b) Show that an is bounded above by 2 (by induction).
#208997
(c) Find the limn→∞ an.
#208998
4(10%) Test for convergence or divergence
#209000
5(10%) Classify the following series into absolute convergence, conditional convergence or divergence. Explain why.
#209001
(a) Give the definition of uniform continuity of a function f defined on a set E .
#209002
(b) Give the definition of a set E being “compactness” in .
#209003
(c) Show that if f is continuous on a compact set E M, then f is uniformly continuous.
#209004
(b)
#209011
(a) Find fx(0,0) and fy,(0,0).
#209006
相關試卷
110年 - 110 國立清華大學碩士班考試入學試題_數學系:高等微積分#105486
110年 · #105486
110年 - 110 國立中央大學_碩士班招生考試_數學系/數學組(一般生):高等微積分#105339
110年 · #105339
110年 - 110 國立中山大學碩士暨碩士專班招生考試_應數系碩士班/丙組:高等微積分#104293
110年 · #104293
110年 - 110 國立臺灣大學_碩士班招生考試_數學研究所:高等微積分#101950
110年 · #101950
109年 - 109 東吳大學_轉學生招生考試_數學系三年級︰高等微積分#108263
109年 · #108263
107年 - 107 東吳大學_碩士班招生考試_數學系(A組):高等微積分#107433
107年 · #107433
107年 - 107 東吳大學_暑假轉學生招生考試_數學系三年級:高等微積分#105419
107年 · #105419
104年 - 104 淡江大學 轉學考 高等微積分#55495
104年 · #55495
99年 - 99 淡江大學 轉學考 高等微積分#55746
99年 · #55746
97年 - 97 淡江大學 轉學考 高等微積分#55794
97年 · #55794