阿摩線上測驗
登入
首頁
>
研究所、轉學考(插大)-微積分
>
103年 - 103 國立臺北大學_轉學生招生考試試題_通訊工程學系二年級:微積分#119716
> 申論題
申論題
試卷:103年 - 103 國立臺北大學_轉學生招生考試試題_通訊工程學系二年級:微積分#119716
科目:研究所、轉學考(插大)-微積分
年份:103年
排序:0
申論題資訊
試卷:
103年 - 103 國立臺北大學_轉學生招生考試試題_通訊工程學系二年級:微積分#119716
科目:
研究所、轉學考(插大)-微積分
年份:
103年
排序:
0
題組內容
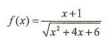
6. Analyze the function
eand please find its
申論題內容
(d) horizontal or/and vertical asymptotes are (6d) (2%)