阿摩線上測驗 登入

申論題資訊

試卷:110年 - 110台灣聯合大學系統_碩士班招生考試_電機類:訊號與系統#104517
科目:研究所、轉學考(插大)◆訊號與系統
年份:110年
排序:0

題組內容

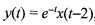
1. (5%) The output ((t) of a continuous-time system is related to its input (x(0) as61b2f0754b45f.jpg,t>0. Determine whether the system is

申論題內容

(d) time invariant (1%).