題組內容
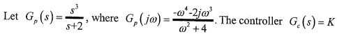
3. Consider the following feedback system with plant
and controller


(e) As in part (d), design the closed-loop poles at -1± j, design the controller 
3. Consider the following feedback system with plant
and controller


(e) As in part (d), design the closed-loop poles at -1± j, design the controller 