阿摩線上測驗
登入
首頁
>
研究所、轉學考(插大)-微積分
>
100年 - 100 國立高雄師範大學轉學生招生考試試題_數學、物理、光通、電子、軟工等系二年級:微積分#116639
> 申論題
題組內容
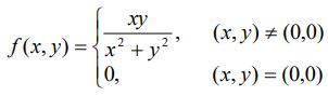
4. Let
(10%)
(i) Show that f
x
and f
y
exist at (0, 0)
相關申論題
(a) =___________;
#498009
(b) =___________
#498010
(c) =___________x≠0 ;
#498011
2. What is the value of k that makes the function continuous at x = 0 ? k =__________ . (6%)
#498012
3. Let . Find the values of a m b , , that make f differentiable everywhere. (a,m,b )=_________ . (6%)
#498013
4. Suppose dt and x≥ 0 . If F-1 is the inverse function of F , then the value ( F-1 ) (0)=___________ . (6%)
#498014
5. Find the area of the region between the x-axis and the graph of f (x)= x3-x2-2x,-1≤x≤2?____________ .(6%)
#498015
6. Evaluate =?________ . (6%)
#498016
7. What is the convergent interval of the power series ? _________. (6%)
#498017
8. Evaluate dydx , where R is the semicircular region bounded by the x-axis and the curve .________ . (6%)
#498018
相關試卷
114年 - 114 國立臺灣大學_轉學生招生考試_物理學系/土木工程學系/生物環境系統工程學系/生物機電工程學系:微積分(B)#137745
114年 · #137745
114年 - 114 國立臺灣大學_轉學生招生考試_數學系:微積分(A)#137744
114年 · #137744
113年 - 113 國立嘉義大學_轉學生招生考試試題_(全校):微積分#122986
113年 · #122986
112年 - 112 國立臺灣大學_碩士班招生考試題:微積分(D)#130254
112年 · #130254
112年 - 112 國立陽明交通大學_碩士班入學招生試題_統計學研究所﹕微積分與線性代數#130252
112年 · #130252
112年 - 112 國立嘉義大學_轉學生招生考試試題:微積分#123297
112年 · #123297
112年 - 臺灣綜合大學系統112 學年度學士班轉學生聯合招生考試試題 微積分A#120563
112年 · #120563
112年 - 112 臺灣聯合大學系統(清華、陽交、中央 聯招)學士班轉學生考試_A3、A4、A6理工組:微積分#117689
112年 · #117689
112年 - 112 臺灣聯合大學系統(清華、陽交、中央三校聯招)學士班轉學生考試_A2商管組:微積分#117687
112年 · #117687
112年 - 112 國立高雄師範大學轉學生招生考試試題_電子工程學系二年級:微積分#116290
112年 · #116290