題組內容
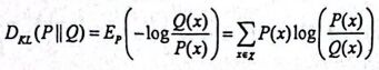
2. For discrete probability distributions P and Q defined on the same probability space χ, the relative entropy from Q to P is defined to be

Show that
(iii)
if and only if Q=P
2. For discrete probability distributions P and Q defined on the same probability space χ, the relative entropy from Q to P is defined to be

Show that
(iii)
if and only if Q=P