題組內容
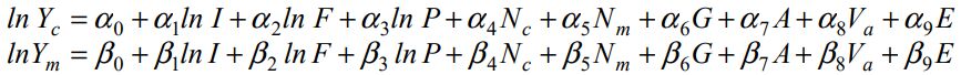
一、已知小客車及機車使用量之需求函數分別如下:
其中,Yc 及 Ym:小客車及機車年行駛里程、I:所得、F:油價、P:停車費、Nc 及 Nm:家戶持有小客車及機車之數量、G:車主性別、A:車主年齡、Va:車齡、E: 排氣量、α i及β i:參數。參數推估結果如表 1 所示。試求:(每小題 5 分,共 20 分)
⑴小客車及機車使用之所得彈性各為何?其各為奢侈品、必需品或劣等品?
一、已知小客車及機車使用量之需求函數分別如下:
其中,Yc 及 Ym:小客車及機車年行駛里程、I:所得、F:油價、P:停車費、Nc 及 Nm:家戶持有小客車及機車之數量、G:車主性別、A:車主年齡、Va:車齡、E: 排氣量、α i及β i:參數。參數推估結果如表 1 所示。試求:(每小題 5 分,共 20 分)
⑴小客車及機車使用之所得彈性各為何?其各為奢侈品、必需品或劣等品?