阿摩線上測驗
登入
首頁
>
測量學(概要、大意)
>
95年 - 95 地方政府特種考試_四等_土木工程、測量製圖:測量學概要#32602
> 申論題
申論題
試卷:95年 - 95 地方政府特種考試_四等_土木工程、測量製圖:測量學概要#32602
科目:測量學(概要、大意)
年份:95年
排序:0
申論題資訊
試卷:
95年 - 95 地方政府特種考試_四等_土木工程、測量製圖:測量學概要#32602
科目:
測量學(概要、大意)
年份:
95年
排序:
0
題組內容
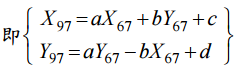
一、假設(X
67
,Y
67
)、(X
97
,Y
97
)分別表示 TWD67、TWD97 兩坐標系統的平面坐標。今 使用均勻分佈於台中市的大量控制點來求定 TWD67 轉換到 TWD97 的坐標轉換參 數值 a、b、c、d,
,其中,這些控制點在兩坐標系統的平面坐標(X
67
,Y
67
)、 (X
97
,Y
97
)均為已知值;經檢核後,發現其轉換精度非常良好。而使用前述的 TWD67 轉 TWD97 的轉換參數 a~d,將台北地區 TWD67 系統的舊圖轉換到 TWD97 系統並套疊於 TWD97 系統的新圖中,卻發現新舊圖的平面位置普遍朝同一個方向 明顯偏移了 30 cm。
申論題內容
⑵如何解決這一個問題呢?請提出具體的做法。(10 分)