阿摩線上測驗
登入
首頁
>
放射物理與輻射安全
>
101年 - 101 關務特種考試_三等_輻射安全技術工程:放射物理與輻射安全#29462
> 申論題
申論題
試卷:101年 - 101 關務特種考試_三等_輻射安全技術工程:放射物理與輻射安全#29462
科目:放射物理與輻射安全
年份:101年
排序:0
申論題資訊
試卷:
101年 - 101 關務特種考試_三等_輻射安全技術工程:放射物理與輻射安全#29462
科目:
放射物理與輻射安全
年份:
101年
排序:
0
題組內容
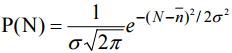
六、假設輻射度量(radiation measurement)的計數值 N 呈一高斯分布,高斯分布為
,其中,P(N)為發現為 N 的機率,
為平均值,σ 為標準差。已知平均計數值為 1600,請回答下列問題:
申論題內容
⑶請問計數小於 1520 的機率有多少?(5 分)