GPT老師的神之解釋(超級清楚)
三個常見排序型檢索評估指標:
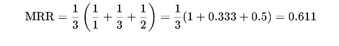
1️⃣ MRR(Mean Reciprocal Rank,平均倒數排名)
? 舉例:
如果三次查詢中,正確答案分別出現在第 1、2、4 名 → Reciprocal Ranks 分別為 1/1, 1/2, 1/4 → MRR = (1 + 0.5 + 0.25)/3 = 0.583
2️⃣ MAP(Mean Average Precision,平均精準率)
舉例:
如果有三篇相關文件出現在第 2、4、5 名,那 precision 分別是: 1/2 = 0.5、2/4 = 0.5、3/5 = 0.6 → AP(這次查詢的平均精準率)= (0.5 + 0.5 + 0.6)/3 = 0.53 → MAP 就是對多次查詢的 AP 取平均
3️⃣ NDCG(Normalized Discounted Cumulative Gain,標準化折扣累積增益)
舉例(簡化):
你希望「高度相關的資料」能排前面 → 如果一個高度相關文件排在第 1 名,它的貢獻會大於排在第 5 名的 → NDCG 會用對數公式做折扣,例如 log2(rank+1),並標準化與理想排名(IDCG)做比較
✅ 結語整理(可寫在申論末段):
MRR、MAP、NDCG 都是用來評估排序資訊檢索系統的精準度與排名品質。 其中 MRR 著重「第一個正確答案的快慢」、MAP 看「整體查詢結果是否精準」、而 NDCG 最能反映「排序與相關性權重的整合品質」。
|
|
#口語說明
MRR(平均倒數排名)是什麼?
你可以想成:
「我想知道,系統給我的第一個正確答案排第幾個出來?越前面越好!」
關鍵詞:看「第一個有用的結果」,越早出現越好。
MAP(平均精準率)是什麼?
你可以想成:
「不只看第一個結果,我還要看整體正確答案排得精不精準!」
關鍵詞:整體來看,正確答案有沒有集中排在前面。
NDCG(標準化折扣累積增益)是什麼?
你可以想成:
「不只有沒有答對,我還要知道哪些結果比較重要、比較相關,而且最好能排在前面!」
關鍵詞:不只是對或錯,還考慮「多相關」跟「排多前面」。
總結一句話口語版:
-
MRR:我最快幾名內看到第一個正確答案?(看第一個)
-
MAP:整體正確答案排得好不好?(看全部的精準度)
-
NDCG:越重要的結果有沒有越前面?(看重要性加排名)
|
|
#MRR、MAP 和 NDCG的舉例以及公式
ㅤㅤ
1. MRR(Mean Reciprocal Rank)平均倒數排名
舉例:
3 筆查詢的正確答案出現在:
-
查詢 1:第 1 名(排名 = 1)
-
查詢 2:第 3 名(排名 = 3)
-
查詢 3:第 2 名(排名 = 2)

ㅤㅤ
2. MAP(Mean Average Precision)平均精準率
舉例:
查詢結果:「相關資料」在第 2、4、5 名。總共 3 筆正確答案。
-
第 2 筆:Precision = 1/2 = 0.5
-
第 4 筆:Precision = 2/4 = 0.5
-
第 5 筆:Precision = 3/5 = 0.6
ㅤㅤ
3. NDCG(Normalized Discounted Cumulative Gain)標準化折扣累積增益
ㅤㅤ
ㅤㅤ
ㅤㅤ
ㅤㅤ
ㅤㅤ
ㅤㅤ
ㅤㅤ
ㅤㅤ
|
總結對比表:
| 指標 |
看什麼 |
強調 |
是否考慮排序 |
是否考慮相關程度 |
|---|
| MRR |
第一個正確答案排名 |
精準地答對第1筆 |
✅ |
❌(只有0或1) |
| MAP |
所有正確答案的精準率平均 |
整體正確性 |
✅ |
❌(只有0或1) |
| NDCG |
所有答案的加權分數 |
排序 + 重要性 |
✅ |
✅(可多階) |
ㅤㅤ
ㅤㅤ
ㅤㅤ
|
#我的疑問
為何 MAP查詢結果:「相關資料」在第 2、4、5 名。總共 3 筆正確答案。
第 2 筆:Precision = 1/2 = 0.5
第 4 筆:Precision = 2/4 = 0.5
第 5 筆:Precision = 3/5 = 0.6 分子不是 第 2 筆:Precision = 1/2 = 0.5
第 4 筆:Precision = 1/4 = 0.5
第 5 筆:Precision = 1/5 = 0.6 而是123呢
ㅤㅤ
GPT解答
們來逐步拆解這個概念:
假設查詢結果排序如下(前 5 筆):
| 排名 |
結果是否正確 |
|---|
| 1 |
❌ |
| 2 |
✅ |
| 3 |
❌ |
| 4 |
✅ |
| 5 |
✅ |
ㅤㅤ
✅ 出現在第 2、4、5 筆(共 3 筆正確答案)。
? AP 的計算邏輯是:
每當我們遇到一個「正確答案」,就:
-
算出它「當下排名前的 Precision」
-
把這些 Precision 加總
-
除以正確答案數量(這裡是 3 筆)
✅ 所以:
-
第 2 筆是第 1 個正確答案,此時前 2 筆中有 1 筆是對的 → Precision = 1/2 = 0.5
-
第 4 筆是第 2 個正確答案,前 4 筆中有 2 筆是對的 → Precision = 2/4 = 0.5
-
第 5 筆是第 3 個正確答案,前 5 筆中有 3 筆是對的 → Precision = 3/5 = 0.6
⛔錯誤理解(你提出的)是:
Precision = 1/4(在第 4 筆出現)
這樣的計算忽略了「這是第幾個正確答案」,以及「前面有幾筆是對的」,而 Precision 的分子其實是「累計的正確答案數」。
✅簡易總結:
| 正確答案出現位置 |
Precision (前面正確筆數 ÷ 當下排名) |
|---|
| 第 2 筆 |
1 / 2 = 0.5 |
| 第 4 筆 |
2 / 4 = 0.5 |
| 第 5 筆 |
3 / 5 = 0.6 |
ㅤㅤ
ㅤㅤ
ㅤㅤ
ㅤㅤ
|
#若在考試時遇到完全不懂的名詞
✅ 一、關鍵策略:拆字理解 + 邏輯推測 + 比較分析
即使不知道定義,也盡可能寫出以下內容:
1. 拆字解釋字面意義(分數保底)
-
MRR = Mean Reciprocal Rank → 可能與「排名的平均倒數」有關(推測:找資料時越早找到正確的越好)
-
MAP = Mean Average Precision → 可能是「多個查詢下的平均精準率」(推測:越精準越好)
-
NDCG = Normalized Discounted Cumulative Gain → 看起來是「加權的分數,但有折扣,還標準化了」(推測:越相關越前面越重要)
✅ 你可以這樣寫(模擬考場語氣):
MRR、MAP 與 NDCG 為資訊檢索系統中常見的評估指標,雖對其公式不熟,但可從字面略作推測:
-
MRR(Mean Reciprocal Rank)推測為針對搜尋結果中第一個正確答案的排名做平均倒數,可能用來評估查詢時越早出現正確答案越佳。
-
MAP(Mean Average Precision)則應為整體平均的精準率,評估所有查詢結果的整體正確率與一致性。
-
NDCG(Normalized Discounted Cumulative Gain)字面上帶有「累積」「折扣」「標準化」三層含義,推測為一種依據項目排名與相關性權重所計算的評分方式,能反映結果排序的品質。
此類指標可作為資訊檢索系統與圖書館搜尋系統性能的重要依據,協助優化排序與使用者經驗。
✅ 二、延伸應對策略:套用一般資訊檢索知識
即使不熟名詞,這類題目通常還是跟:
有關,你可以補充:
✅ 三、千萬不要空白,以下是你最低保底策略:
如果真的完全沒看過這些詞,寫個通則型答案仍然可得分:
雖不熟悉 MRR、MAP 與 NDCG 的確切公式,但推測此類指標皆為用來評估資訊檢索系統的查詢準確性與排序效果,與使用者體驗和檢索系統效能密切相關。不同指標可能重視不同層面的表現,如精確率、召回率、正確答案出現的位置、以及正確項目的排序等面向。圖書館可依據此類指標改善 OPAC 或資料庫的搜尋功能。
?總結:考試遇不熟名詞怎麼辦?
| 做法 |
說明 |
|---|
| 拆字理解 |
根據英文字根猜意義(如 Mean = 平均) |
| 合理推測 |
根據檢索常識,推理其可能用途 |
| 題意延伸 |
寫出這些評估「可能用在哪裡」、「對系統有什麼幫助」 |
| 保底描述 |
寫「不確定定義,但可能與 xxx 有關」來展現推理與態度 |
ㅤㅤ
✅ 一、不要空白,靠「推理+相關知識」搶基本分!
考試不是死背名詞競賽,而是考你:
-
能否「運用現有知識」解決陌生情境
-
是否具備「資訊素養思維與邏輯表達」
? 解題策略如下:
1. 承認不熟,展現邏輯
你可以開頭誠實說明:「雖未熟悉 MRR、MAP、NDCG 的詳細定義,但根據資訊檢索常見的指標邏輯,可做以下推測與推論。」
然後寫:
MRR、MAP、NDCG 三項應屬於資訊檢索領域中,用來評估搜尋結果優劣的指標。雖不清楚其縮寫原文,但根據搜尋系統常見的考量點,可推測其可能涉及以下幾點:
-
搜尋結果正確項目的出現位置(如是否在前幾筆)
-
搜尋結果整體的精準率與召回率
-
項目的相關性排序(越前面越應該相關)
此類指標的應用,可幫助圖書館與資料庫調整搜尋演算法,使使用者能更快取得需要的資料,提升資訊檢索效率與使用體驗。
✅ 二、補充「通用資訊檢索原則」作為內容骨架
即使不知道縮寫意義,也可從以下角度展開回答:
| 方向 |
說明可寫內容 |
|---|
| 排序品質 |
結果中越前面出現的項目應該越相關 |
| 使用者體驗 |
使用者傾向點選第一頁的資料,故需優化結果順序 |
| 精準度 |
檢索結果是否多為真正有用的資料?是否排除噪音? |
| 實務應用 |
可應用於 OPAC 系統、電子資源平台、搜尋引擎優化等 |
ㅤㅤ
✅ 三、提出合理應用情境來補分
你可以舉例:
例如讀者查詢「氣候變遷」,若搜尋系統回傳前五筆結果皆為高相關資料,代表排序品質佳,若越到後面才出現真正相關資料,則代表排序機制需要改善。這些就是評估指標存在的意義。
✅ 實用範例:考場可寫這樣
MRR、MAP 與 NDCG 雖為專業縮寫,考生對其定義不甚熟悉,但根據資訊檢索系統評估常見面向,推測此三者與「搜尋結果排序效果」、「使用者查詢成功率」密切相關。其目的皆在於協助系統開發者改善檢索品質,讓高相關資料排在前面,提升讀者搜尋效率。圖書館若能導入此類指標做評估,亦可優化 OPAC 與電子資料庫之使用經驗。
這樣的回答即使不完全正確,也展現出你的邏輯能力與資訊素養,有望拿 一半以上分數(約12–15分)。
? 建議你:事前背熟這三個縮寫對應的英文與概念:
| 縮寫 |
英文全名 |
簡單意義 |
|---|
| MRR |
Mean Reciprocal相互的 Rank |
第一個正確答案出現的平均位置(越前越好) |
| MAP |
Mean Average平均 Precision |
整體平均精準率 |
| NDCG |
Normalized(標準化) Discounted(折扣) Cumulative(累積) Gain |
根據位置與相關性加權的排序分數 |
|
ㅤㅤ
GPT釐清觀念
你說的(我說的可能是錯得):
MRR:不同查詢尋找正確答案比率
MAP:相同搜尋正確答案出現率
這樣的說法接近核心,但詞彙需要更精確,否則在考試或實務中可能會造成誤解。
✅ 正確說法如下:
? MRR(Mean Reciprocal Rank)
重點在「第一個正確答案的位置」
? 適用情境:
? 你可以理解成:「每筆查詢中,第一個正確答案出現的平均位置」
? MAP(Mean Average Precision)
重點在「多個正確答案的精準率」
-
每筆查詢可能會有多個正確答案(例如:搜尋「文學批評」,可能有10本相關書)。
-
計算每次正確答案出現時的精準率(Precision),然後平均起來。
-
最後再把多筆查詢的平均精準率再平均 → 得到 MAP。
? 適用情境:
? 你可以理解成:「一筆查詢中,每次正確結果出現時的精準率,然後多筆查詢平均」
✅ 快速對照表
| 指標 |
簡單解釋 |
適用情境 |
|---|
| MRR |
第一個正確答案出現的平均位置(倒數) |
問答系統、FAQ、快速查詢 |
| MAP |
多個正確答案的平均精準率 |
學術搜尋、多結果系統 |
ㅤㅤ
✅ 小提醒:不是「不同查詢 vs 相同查詢」
你說的「不同查詢 vs 相同查詢」會讓人以為 MAP 是用同一筆查詢重複測試,其實不然,兩者都會針對多筆不同查詢來計算平均,只是衡量指標不同:
-
MRR:重視第一筆正確結果的排名
-
MAP:重視每筆查詢的整體精準率平均
✅ 建議你這樣記:
? MRR:只要一個答案快快出現就好(重排名)
? MAP:答案愈多愈好,而且每個都要出現在對的位置(重精準率)
ㅤㅤ
自己寫(還要再加強)
三、傳統上,進行文件檢索的評分時,採用的是 recall(查全率)與 precision (查準率),這是一種適用於無排序之檢索結果(non-ranked retrieved list) 的評量尺度。然而,多數的資訊檢索系統的檢索結果都是排序的,這也符合使用者的期待,畢竟第 1 篇文件就是相關文件,與第 20 篇文件才是相關文件,對使用者而言,感覺是截然不同的。試說明並舉例資訊檢 索的評價指標 MRR、MAP 和 NDCG。(25 分)
ㅤㅤ
ㅤㅤ
(一)前言 : 進行文件檢索的評分時,依據關鍵字查詢到的資料在第一筆,以集資需要橫跨多筆部相關資料是截然不同的使用者經驗。為了此使用者有好的搜索經驗。系統不斷改良與進步,但是要改良必須知道不夠好的部分才能針對其改善。因此會需要使用及MRR、MAP 和 NDCG。以下將逐一說明MRR、MAP 和 NDCG的內容
ㅤㅤ
(1)MRR查詢正確率 :查詢使用者在檢索時正確資料的順序,例如:
該使用者查詢三次 ,這三次當中
第一次查詢:正確資料在第二筆
第二次查詢:正確資料在第四筆
第三次查詢:正確資料在第五筆
ㅤㅤ
MPP的計算如下 : 1/3*(1/2+1/4+1/5)
ㅤㅤ
(2)MAP平均精準度 :計算正確總數所佔據的比率
同一次查詢之中正確資料分別出現在資料 :第二筆、第四筆、第五筆
ㅤㅤ
因此平均精準度就是 (1/2 +2/4+3/5)/3
ㅤㅤ
(3)NDCG搜索排序品質 :把是否相關聯分成1最不相關 2相關 3非常相關
ㅤㅤ
ㅤㅤ
ㅤㅤ
ㅤㅤ
ㅤㅤ
ㅤㅤ
ㅤㅤ
ㅤㅤ
ㅤㅤ
ㅤㅤ