二、計算問答題:
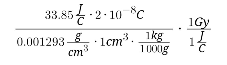
1. 空氣密度為 1.293 kg/cm3,氣體內產生一個游離所需能量為33.85 J/C。某體積 1 cm3 的空腔內充滿 STP 狀況下之空氣,曝露在輻射場中而放出66d91cabb3dbc.jpg庫侖電荷。請問空腔內的空氣之吸收劑量為多少戈雷?

詳解 (共 4 筆)

nomi
nomi
詳解 #6263492
2024/12/04
答案:(2× 10-8) /(1.293...
(共 47 字,隱藏中)
前往觀看
Ingenia
Ingenia
詳解 #6301263
2025/02/05


(共 1 字,隱藏中)
前往觀看
Y.Y.S
Y.Y.S
詳解 #6800543
2025/09/27
核能安全委員會提供之解答網頁連結

(共 18 字,隱藏中)
前往觀看
床編故事的粉絲
床編故事的粉絲
詳解 #6230975
2024/10/17
氣氣氣氣氣!題目在玩我們,空氣的密度根本就不是1.293kg/cm3,而是1.293×10-6kg/cm3
ㅤㅤ
67104dd4c271a.jpg=0.52Gy