阿摩線上測驗
登入
首頁
>
環境化學與環境微生物學
>
88年 - 88 公務升官等考試_薦任_環境檢驗、環保技術:環境化學及環境微生物學#51054
> 申論題
題組內容
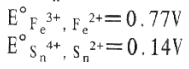
五、50ml之0.020M F
e
3+
溶液以0.050M S
n
2 +
溶液滴定,求加入(20分) 已知:
及㈢15ml S
n
2 +
後,個別溶液的電位(E)值。
相關申論題
三、何謂細菌胞子(bacterial endospore) ?具有那些特性?寫出會產生胞子的細菌屬名二個。 細菌胞子在分類上、在滅菌上,以及生物防治方面各有什麼意義?(20分)
#182652
四、某家庭污水排入一河川,繪出河水從污水排放口開始到下游不同距離之①B0D②DO③大腸 菌④原生動物⑤細菌數⑥有機氮⑦氨態氮⑧亞硝酸氮⑨硝酸態氮之變化,以 圖表示便可,並說明這些水質變化的相關性。(20分)
#182653
五、㈠寫出加氯消毒影響加氯量的因素?並說明原因?( 10分)
#182654
(二)利用氯氨及自由餘氯消毒的優缺點。(10分)
#182655
(1)基隆公司 96 年 6 月份為購建該設備應予資本化之利息金額為何?
#182656
(2)假設該設備耐用年限 5 年,無殘值,採年數合計法提列折舊,則基隆公司 97 年 度有關該設備應提列之折舊金額為何?(計算至整數位;須詳列計算過程,否 則不計分)
#182657
⑵高雄公司於民國 96 年 5 月 1 日以分期付款方式購買一部應將利息資本化的機器, 機器價格為$2,000,000,同日高雄公司支付$200,000,餘款分 9 期平均償還,每期 半年,並按未償還餘額加計年息 6%之利息。此項機器於同年 12 月 1 日安裝完成 並正式啟用。高雄公司於 96 年度僅此項分期償還之債務,別無其他付息債務。 試作:(10 分) 高雄公司 96 年度為購買該機器應予資本化之利息金額為何?一年以 365 天計算。 (須詳列計算過程,否則不計分)
#182658
⑴若台中公司所得稅抵減之會計處理採當期認列法,求作台中公司 95 年底之所得 稅抵減相關分錄。(10 分)
#182659
⑵若台中公司所得稅抵減之會計處理採遞延法,求作台中公司 95 年底之所得稅抵 減相關分錄。(10 分)
#182660
⑴若原銷售系統之原始成本為 $200,000,請作 97 年 1 月 2 日之必要分錄。(5 分)
#182661
相關試卷
114年 - 114 地方政府公務特種考試_三等_環境工程、環保技術、環境檢驗:環境化學與環境微生物學#134794
114年 · #134794
114年 - 114 專技高考_環境工程技師:環境化學與環境微生物學#133664
114年 · #133664
114年 - 114 公務升官等考試_薦任_環境工程、環保技術、環境檢驗:環境化學與環境微生物學#133117
114年 · #133117
114年 - 114 高等考試_二級_環境工程:環境化學與環境微生物學#131581
114年 · #131581
114年 - 114 高等考試_三級_環境工程、環保技術、環境檢驗:環境化學與環境微生物學#128512
114年 · #128512
113年 - 113 地方政府公務特種考試_三等_環境工程、環保技術:環境化學與環境微生物學#124475
113年 · #124475
113年 - 113 專技高考_環境工程技師:環境化學與環境微生物學#123903
113年 · #123903
113年 - 113 中央印製廠_新進人員甄試_環工工程員:環境化學、環境微生物學及廢棄物管理工程#123199
113年 · #123199
113年 - 113 高等考試_二級_環境工程:環境化學與環境微生物學#123082
113年 · #123082
113年 - 113 高等考試_三級_環境工程:環境化學與環境微生物學#121288
113年 · #121288